430685
在特定領域或情境中,展示產品、服務或解決方案如何被實際應用以解決具體問題的實例
背景
脂多糖(lipopolysaccharide,LPS),又稱內毒素,為革蘭氏陰性菌細胞壁外壁的組成成分,可作用于膜受體激活多種細胞(巨噬細胞、上皮細胞、內皮細胞等)信號轉導系統,促進促炎細胞因子和其他炎性介質的合成及釋放,引發炎癥反應。客戶采用LPS誘導RAW264.7巨噬細胞建立體外炎癥模型,使用超聲波細胞粉碎機將蛋白及核酸從炎癥細胞中分離出來,從基因、蛋白相對表達水平方面評估羊棲菜多酚(Hizikia fusiformis polyphenols,HFPs)的抗炎活性,為其在新型抑炎制劑的開發利用提供理論依據。
材料與方法
1.1羊棲菜多酚的制備
取干燥羊棲菜粉末,加入體積分數60%乙醇溶液,使用SCIENTZ-IID 超聲輔助浸提(料液比1:20(m/V)、50℃、60min),抽濾后真空減壓蒸餾去除乙醇,獲羊棲菜粗多酚溶液,依次采用等體積石油醚、乙酸乙酯分級萃取,真空減壓蒸餾后凍干(使用 SCIENTZ-12N 過夜凍干),獲得HFPs粉末。測得HFPs粉末總酚含量為23.67±0.24 mg/g。利用無菌水配制成多酚母液,再以細胞培養液稀釋至不同濃度,用于后續實驗。
1.2炎癥細胞培養
使用完全培養基(含10%(體積分數,下同)胎牛血清和1%青鏈霉素雙抗DMEM培養基)培養RAW264.7細胞,37℃、5% CO2培養,細胞融合度約80%時進行傳代。然后分成3組進行培養:①陰性對照組,僅加入含10%胎牛血清的DMEM培養基;②LPS陽性對照組,加入含LPS (1μg/mL)和10%胎牛血清的DMEM培養基刺激24 h;③HFPs+LPS組,經含不同質量濃度(10、20、40、60、80、100、120、140、160、180、200、250、300、350μg/mL)HFPs和10%胎牛血清的DMEM培養基培養24h后,以含LPS(1μg/mL)和10%胎牛血清的DMEM培養基刺激24h。
1.3RAW264.7細胞炎癥相關基因相對表達量的測定
1.2中培養的三組細胞培養結束后棄去培養液,用0.01mol/L、pH7.2的磷酸鹽緩沖液(phosphate buffered saline,PBS)清洗細胞2次,每孔加入500μL TRIzol試劑,使用SCIENTZ-IID加速破碎細胞協助提取總RNA,超聲參數為:100W,1s開1s關,共1min,并將RNA逆轉錄為cDNA。以cDNA為模板,采用SYBR Green嵌合熒光法與引物進行實時熒光定量PCR。測定目的基因(IL-1β、IL-6、TNF-a、COX-2、iNOS)和內參基因次黃嘌呤磷酸核糖基轉移酶1(hypoxanthine-guanine phosphoribosyl transferase,hprt1)Ct值,采用2-△△Ct法計算目的基因的相對表達量。
1.4MAPKs、NF-KB信號通路關鍵蛋白相對表達量測定
1.2中培養的三組細胞培養結束后棄去培養液,用0.01mol/L、pH7.2的磷酸鹽緩沖液(phosphate buffered saline,PBS)清洗細胞2次,加入200μL RIPA細胞裂解液,使用SCIENTZ-IID加速破碎細胞協助提取蛋白質,超聲參數為:100W,1s開1s關,共1min,離心(12000r/min、4℃)10min取上清液。采用BCA蛋白質量濃度測定試劑盒測定各組蛋白濃度,用蛋白上樣緩沖液調整蛋白質量濃度為2mg/mL,95℃加熱10min使蛋白變性然后進行十二烷基硫酸鈉-聚丙烯酰胺凝膠電泳分離;濕轉到聚偏二氟乙烯膜;5%(質量分數)脫脂奶粉(TBST溶液配制)封閉1h;一抗4℃孵育12h;二抗室溫孵育2h;加入ECL試劑進行顯色反應,測定蛋白條帶灰度值。以β-actin為內參,目的蛋白包括iNOS、p65、p-p65、p38、p-p38、JNK和p-JNK,分別以p-p38/p38、p-JNK/JNK、p-p65/p65表示相應蛋白磷酸化水平。
結果與分析
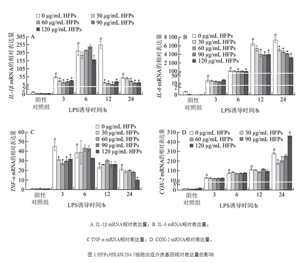
01RAW264.7細胞炎癥相關基因相對表達量的測定結果
采用實時熒光定量PCR測定HFPs對LPS誘導的巨噬細胞中重要促炎細胞因子IL-1β、IL-6和TNF-a基因相對表達量,以及炎癥相關酶COX-2基因相對表達量的影響。如圖1所示,LPS刺激不同時間后,所有炎癥介質的mRNA表達水平均顯著提高(P<0.05)。HFPs對促炎細胞因子的抑制作用與其劑量、LPS誘導時間及細胞因子種類相關。與LPS組相比,靜息狀態細胞經HFPs處理再經LPS誘導12、24h后,IL-1β和IL-6的基因相對表達量顯著下降;HFPs顯著抑制LPS誘導3h后TNF-a基因的相對表達,而在LPS誘導6~24h的抑制作用總體不明顯。在LPS誘導24h,較低劑量HFPs(30、60μg/mL) 預處理對COX-2基因表達具有顯著抑制作用,但提高劑量后該抑制效果消失,甚至出現反向促進作用,120μg/mL HFPs預處理促使COX-2相對表達量較LPS組顯著上升(P<0.05).

02MAPKs、NF-KB信號通路關鍵蛋白相對表達量測定
1.2中培養的三組細胞培養結束后棄去培養液,用0.01mol/L、pH7.2的磷酸鹽緩沖液(phosphate buffered saline,PBS)清洗細胞2次,加入200μL RIPA 細胞裂解液,使用SCIENTZ-IID加速破碎細胞協助提取蛋白質,超聲參數為:100W,1s開1s關,共1min,離心(12000r/min、4℃)10min取上清液。采用BCA蛋白質量濃度測定試劑盒測定各組蛋白濃度,用蛋白上樣緩沖液調整蛋白質量濃度為2mg/mL,95℃加熱10min使蛋白變性然后進行十二烷基硫酸鈉-聚丙烯酰胺凝膠電泳分離;濕轉到聚偏二氟乙烯膜;5%(質量分數)脫脂奶粉(TBST溶液配制)封閉1h;一抗4 ℃孵育12h;二抗室溫孵育2h;加入ECL試劑進行顯色反應,測定蛋白條帶灰度值。以β-actin為內參,目的蛋白包括iNOS、p65、p-p65、p38、p-p38、JNK和p-JNK,分別以p-p38/p38、p-JNK/JNK、p-p65/p65表示相應蛋白磷酸化水平。

總結
客戶采用LPS誘導RAW264.7巨噬細胞建立體外炎癥模型,使用超聲波細胞粉碎機將蛋白及核酸從炎癥細胞中分離出來,從基因、蛋白相對表達水平方面評估羊棲菜多酚(Hizikia fusiformispolyphenols,HFPs)的抗炎活性,為其在新型抑炎制劑的開發利用提供理論依據。超聲波細胞粉碎機在整個實驗中起到作用如下:
01輔助提取羊棲菜中多酚組分,加速多酚組分釋放,縮短了提取進程,后續通過凍干步驟即可獲得羊棲菜多酚粉末,溶解后備用;
02搭配TRIzol試劑對細胞中總RNA進行提取,試劑中含有苯酚,可加速細胞破碎和核酸釋放,還加入核酸酶抑制物質防止RNA降解,PCR結果表明提取的RNA濃度與純度較好,可用于相關基因表達情況的分析;
03搭配RIPA裂解液對細胞中的蛋白質進行提取,大幅減少原本冰上裂解所需時間(30 min),試劑中含有的蛋白酶抑制劑可防止蛋白降解,還含有磷酸酶抑制劑,防止蛋白提取后的再修飾,更好測定蛋白磷酸化狀態。
24小時服務熱線 18106650612